Cadillac Escalade: Jump Starting
For more information about the vehicle battery, see Battery .
If the vehicle is a hybrid, see the hybrid supplement for more information.
If the vehicle's battery has run down, you may want to use another vehicle and some jumper cables to start your vehicle. Be sure to use the following steps to do it safely.
WARNING
Batteries can hurt you. They can be dangerous because:
- They contain acid that can burn you.
- They contain gas that can explode or ignite.
- They contain enough electricity to burn you.
If you do not follow these steps exactly, some or all of these things can hurt you.
Notice: Ignoring these steps could result in costly damage to the vehicle that would not be covered by the warranty.
Trying to start the vehicle by pushing or pulling it will not work, and it could damage the vehicle.
1. Check the other vehicle. It must have a 12-volt battery with a negative ground system.
Notice: Only use a vehicle that has a 12-volt system with a negative ground for jump starting. If the other vehicle does not have a 12-volt system with a negative ground, both vehicles can be damaged.
2. Get the vehicles close enough so the jumper cables can reach, but be sure the vehicles are not touching each other. If they are, it could cause a ground connection you do not want. You would not be able to start your vehicle, and the bad grounding could damage the electrical systems.
To avoid the possibility of the vehicles rolling, set the parking brake firmly on both vehicles involved in the jump start procedure. Put the automatic transmission in P (Park) or a manual transmission in N (Neutral) before setting the parking brake. If you have a four-wheel-drive vehicle, be sure that the transfer case is in a drive gear, not in N (Neutral).
Notice: If any accessories are left on or plugged in during the jump starting procedure, they could be damaged. The repairs would not be covered by the vehicle warranty. Whenever possible, turn off or unplug all accessories on either vehicle when jump starting the vehicle.
3. Turn off the ignition on both vehicles. Unplug unnecessary accessories plugged into the accessory power outlets. Turn off the radio and all the lamps that are not needed. This avoids sparks and helps save both batteries. And it could save the radio!
4. Open the hood on the other vehicle and locate the positive (+) and negative (−) terminal locations on that vehicle.
Your vehicle has a remote positive (+) jump starting terminal and a remote negative (−) jump starting terminal. You should always use these remote terminals instead of the terminals on the battery.
If the vehicle has a remote positive (+) terminal, it is located under a red plastic cover at the positive battery post. To uncover the remote positive (+) terminal, open the red plastic cover.

The remote negative (−) terminal is a stud located on the right front of the engine, where the negative battery cable attaches.
See Engine Compartment Overview for more information on the location of the remote positive (+) and remote negative (−) terminals.
WARNING
An electric fan can start up even when the engine is not running and can injure you. Keep hands, clothing and tools away from any underhood electric fan.
WARNING
Using an open flame near a battery can cause battery gas to explode. People have been hurt doing this, and some have been blinded. Use a flashlight if you need more light.
Be sure the battery has enough water. You do not need to add water to the battery installed in your new vehicle. But if a battery has filler caps, be sure the right amount of fluid is there. If it is low, add water to take care of that first. If you do not, explosive gas could be present.
Battery fluid contains acid that can burn you. Do not get it on you. If you accidentally get it in your eyes or on your skin, flush the place with water and get medical help immediately.
WARNING
Fans or other moving engine parts can injure you badly. Keep your hands away from moving parts once the engine is running.
5. Check that the jumper cables do not have loose or missing insulation. If they do, you could get a shock. The vehicles could be damaged too.
Before you connect the cables, here are some basic things you should know. Positive (+) will go to positive (+) or to a remote positive (+) terminal if the vehicle has one. Negative (−) will go to a heavy, unpainted metal engine part or to a remote negative (−) terminal if the vehicle has one.
Do not connect positive (+) to negative (−) or you will get a short that would damage the battery and maybe other parts too. And do not connect the negative (−) cable to the negative (−) terminal on the dead battery because this can cause sparks.

6. Connect the red positive (+) cable to the positive (+) terminal of the vehicle with the dead battery. Use a remote positive (+) terminal if the vehicle has one.
7. Do not let the other end touch metal. Connect it to the positive (+) terminal of the good battery. Use a remote positive (+) terminal if the vehicle has one.
8. Now connect the black negative (−) cable to the negative (−) terminal of the good battery. Use a remote negative (−) terminal if the vehicle has one.
Do not let the other end touch anything until the next step. The other end of the negative (−) cable does not go to the dead battery. It goes to a heavy, unpainted metal engine part or to the remote negative (−) terminal on the vehicle with the dead battery.
9. Connect the other end of the negative (−) cable to the remote negative (−) terminal, on the vehicle with the dead battery.
10. Now start the vehicle with the good battery and run the engine for a while.
11. Try to start the vehicle that had the dead battery. If it will not start after a few tries, it probably needs service.
Notice: If the jumper cables are connected or removed in the wrong order, electrical shorting may occur and damage the vehicle. The repairs would not be covered by the vehicle warranty. Always connect and remove the jumper cables in the correct order, making sure that the cables do not touch each other or other metal.

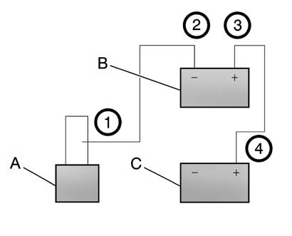
Jumper Cable Removal
A. Heavy, Unpainted Metal Engine Part or Remote Negative (−) Terminal
B. Good Battery or Remote Positive (+) and Remote Negative (−) Terminals
C. Dead Battery or Remote Positive (+) Terminal
To disconnect the jumper cables from both vehicles do the following:
1. Disconnect the black negative (−) cable from the vehicle that had the bad battery.
2. Disconnect the black negative (−) cable from the vehicle with the good battery.
3. Disconnect the red positive (+) cable from the vehicle with the good battery.
4. Disconnect the red positive (+) cable from the other vehicle.
5. Return the remote positive (+) terminal cover, if the vehicle has one, to its original position.
Jump Starting
...
Towing
...
See also:
Type approval numbers
The TPMS devices comply with part 15 of the FCC rules and IC - RSS-210. Operation
is subject to the following two conditions:
(1) this device may not cause harmful interference, and
(2) this devic ...
Vehicles with a "Minispare" emergencyspare wheel
► Lift the trunk floor up.
1 Alignment bolt
2 Towing eye
3 Lug wrench
4 Ratchet wrench
5 Velcro fastener
6 Jack
7 Wheel bolts
8 Folding wheel chock
9 Fuse allocation chart
10 Stowage ...
Opening the hood
1. Pull the hood release lever, located in the left-hand front footwell.
2. Lift the hood safety catch lever, located below the center point of the hood,
then raise the hood. ...






